
✅ 이진 탐색 트리란
이진 탐색 개념으 트리 구조에 적용한 것
✅ 활용
- (균형잡힌 트리인 경우) 효율적인 '검색'을 위해
- 데이터 '삽입', '삭제'가 빈번할 경우
- 우선순위가 필요한 작업 (최소값,최대값 빠르게 탐색)
- 데이터베이스 인덱싱, 정렬, 검색 엔진, 네트워크 라우팅(라우팅 테이블 관리시) 등
✅ 시간복잡도
O(log n) : 모든 노드를 탐색하지 않고, 트리의 높이만큼 탐색하게 된다. (왼쪽, 오른쪽 트리의 높이가 비슷할 경우)
O(n) : 그러나 트리가 한쪽으로 치우쳐 세로로 늘어진 경우 성능 저하
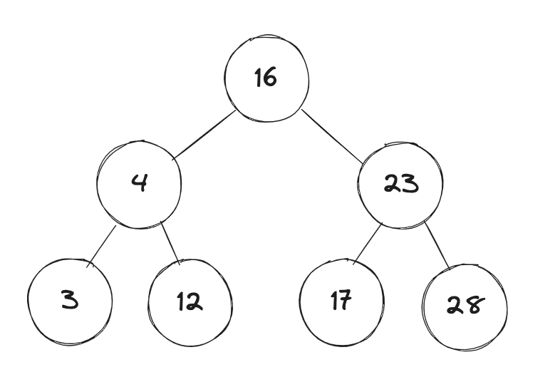
✅ 특징
1. 각 노드의 왼쪽 가지의 값들은 본인보다 작다
: 10을 예로들면, 10 아래의 3,8은 10보다 작다
2. 각 노드의 오른쪽 가지 값들은 본인보다 크다.
: 16을 예로들면, 23,17,28은 16 보다 크다.
✅ 조회
1. 최소값 조회 : 왼쪽 트리만 탐색하면 됨 (16 → 10 → 3)
2. 최대값 조회 : 오른쪽 트리만 탐색하면 됨 (16 → 23 → 28)
✅ 삽입
1. 루트노드 보다 작은 값을 넣는 경우
- 5를 넣는 경우 : 16보다 작음(왼쪽으로) -> 10보다 작음(왼쪽으로) -> 3보다 큼(오른쪽으로) -> 8보다 작음(왼쪽으로)
2. 루트노드 보다 큰 값을 넣는 경우
- 25를 넣는 경우 : 16보다 큼(오른쪽으로) -> 23보다 큼(오른쪽으로) -> 28보다 작음(왼쪽으로)

✅ 삭제
1. 자식노드가 없는 경우
- 25 삭제하는 경우 : 그냥 25 본인만 제거된다.
2. 자식노드가 하나 딸린 노드 삭제시
- 8을 삭제하는 경우 : 8제거 후 4는 3보다 크므로 3의 오른쪽으로 이동
3.자식노드가 두개 딸린 노드 삭제시
- 10을 삭제하는 경우
: 10제거 후 삭제한 노드 기준 "왼쪽 가지의 최대 노드" OR "오른쪽 가지의 최소 노드"를 삭제된 위치로 이동한다.
: 왼쪽 가지의 최대 노드를 이동하면 (10의 왼쪽 가지(3) -> 3 자식 중 제일 큰 값(4) -> 4를 이동)

✅ javascript 로 구현한 BST
class Node {
constructor(value) {
this.value = value;
this.left = null;
this.right = null;
}
}
class BinarySearchTree {
constructor() {
this.root = null;
}
// 새로운 값을 트리에 삽입하는 메서드
insert(value) {
const newNode = new Node(value);
if (this.root === null) {
this.root = newNode;
} else {
this.insertNode(this.root, newNode);
}
}
// 재귀적으로 노드를 삽입하는 메서드
insertNode(node, newNode) {
if (newNode.value < node.value) {
if (node.left === null) {
node.left = newNode;
} else {
this.insertNode(node.left, newNode);
}
} else {
if (node.right === null) {
node.right = newNode;
} else {
this.insertNode(node.right, newNode);
}
}
}
// 트리에서 특정 값을 검색하는 메서드
search(value) {
return this.searchNode(this.root, value);
}
// 재귀적으로 노드를 검색하는 메서드
searchNode(node, value) {
if (node === null) {
return false;
}
if (value < node.value) {
return this.searchNode(node.left, value);
} else if (value > node.value) {
return this.searchNode(node.right, value);
} else {
return true;
}
}
// 트리에서 특정 값을 삭제하는 메서드
delete(value) {
this.root = this.deleteNode(this.root, value);
}
// 재귀적으로 노드를 삭제하는 메서드
deleteNode(node, value) {
if (node === null) {
return null;
}
if (value < node.value) {
node.left = this.deleteNode(node.left, value);
} else if (value > node.value) {
node.right = this.deleteNode(node.right, value);
} else {
// 노드를 찾았을 때
if (node.left === null && node.right === null) {
// 리프 노드: 단순히 삭제
return null;
}
if (node.left === null) {
// 오른쪽 자식만 있는 경우
return node.right;
}
if (node.right === null) {
// 왼쪽 자식만 있는 경우
return node.left;
}
// 두 개의 자식 노드가 있는 경우
const maxValue = this.findMaxValue(node.left);
node.value = maxValue;
node.left = this.deleteNode(node.left, maxValue);
}
return node;
}
// 삭제시, 왼쪽 서브트리에서 최대 값을 찾는 메서드
findMaxValue(node) {
let current = node;
while (current.right !== null) {
current = current.right;
}
return current.value;
}
}
// 사용 예제
const bst = new BinarySearchTree();
// <삽입>
bst.insert(15);
bst.insert(9);
bst.insert(23);
bst.insert(3);
bst.insert(12);
bst.insert(17);
bst.insert(1);
bst.insert(8);
bst.insert(4);
/*
15
/ \
9 23
/ \ /
3 12 17
/ \
1 8
/
4
*/
// <조회>
console.log(bst.search(4)); // true
console.log(bst.search(99)); // false
// <삭제>
bst.delete(8); // 삭제할 노드: 8
bst.delete(9); // 삭제할 노드: 9
/*
15
/ \
4 23
/ \ /
3 12 17
/
1
*/'CS > 자료구조&알고리즘' 카테고리의 다른 글
| [그래프] 벨만 포드 알고리즘 (0) | 2024.08.12 |
|---|